多物理场联合重磁电震综合地球物理一体化勘探是破解深层-超深层探测难题的唯一途径,也是勘探地球物理技术发展的主流之一,但长期以来进展缓慢,多表现为重磁电震联合解释,多物理场联合反演并未实现真正的有机结合和相互制约。究其原因,存在理论瓶颈:多物理场耦合机制和同步响应机理的理论尚未建立。针对这一问题,本研究通过同时测量五块盐水饱和Berea砂岩在25 ℃至140 ℃温度变化下的纵波速度、电导率和孔隙度,探究温度对含流体多孔岩石弹性-电性联合性质的影响。实验发现:随着温度的升高,纵波速度先随电导率增加而增加,然后降低,呈现出局部最大值。进一步研究表明,温度诱导的弹性-电性联合性质变化主要取决于纵波速度对温度的依赖关系,而电导率随温度呈强烈的线性增加。综合分析表明,纵波速度随温度变化取决于孔隙纵横比、饱和流体和岩石孔隙度的热效应,影响顺序依次递减。

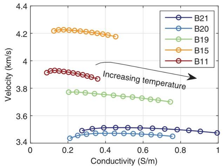
图1.五块盐水饱和Berea砂岩样品的实测纵波速度与电导率之间的相关性(以温度为隐函数)
箭头指示温度升高的方向

图2.(a)孔隙压力为1 MPa时,35 g/L氯化钠盐水的纵波速度与电导率随温度变化的模拟结果;(b)二者以温度为隐函数的联合相关性。箭头指示温度升高的方向。其中,弹性性质(纵波速度)的模拟依据Batzle和Wang(1992)的研究,电学性质(电导率)的模拟依据Sen 和Goode(1992)的研究
本文揭示了高温多孔裂缝砂岩的弹性-电性协同响应机理,为高温环境地震与电法综合勘探提供科学依据。研究成果近期发表在勘探地球物理国际权威期刊Geophysics。论文第一作者和通讯作者为冰球突破豪华版官方网站地球科学与技术学院韩同城教授,合作者包括冰球突破豪华版官方网站硕士研究生杜孖轩、何海铭、以及冰球突破豪华版官方网站符力耘教授。
论文信息:Tongcheng Han, Zixuan Du, Haiming He, Li-Yun Fu, 2025. Temperature effects on the joint elastic-electrical properties of Berea sandstones. Geophysics. https://doi.org/10.1190/geo2024-0757.1.